Tecnologia do Blogger.
RSS

Produzido por estudantes de nutrição da Universidade de Brasília, esse blog viabilizará informações diversificadas a respeito de uma molécula que saiu dos livros de Química e acabou caindo na boca do povo: O Colesterol.

Metabolismo do Colesterol

Nessa postagem sobre metabolismo do colesterol, vamos saber mais, principalmente, sobre sua biossíntese (a formação da molécula), regulação dessa produção e forma de excreção desse lipídio. 


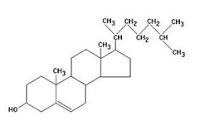
Biossíntese do colesterol
Colesterol
Como já foi exposto em postagens anteriores, o colesterol existente em nosso organismo pode ser de fonte exógena ou síntese endógena, lembrando que alimentos de origem vegetal não apresentam colesterol, e sim, o análogo fitoesterol.

A síntese do colesterol pelo corpo ocorre, majoritariamente, pelo fígado, sendo que intestino e glândulas secretoras de hormônios esteroídicos, como as supra-renais e gônadas, também têm sua participação.


Antes de falar sobre a ‘montagem’ da molécula de colesterol, é importante pensar em um indivíduo alimentado, pois como em toda síntese, o processo é dispendioso ao organismo e acontece em momentos em que há energia adequada para tal produção (exceto a gliconeogênese, que ocorre a síntese de glicose em momentos de jejum e pós-prandial).

 A molécula de colesterol possui 27 carbonos, provenientes de acetil-CoA, sendo este o mesmo precursor também dos ácidos graxos. O início da formação dessa molécula é dado com a união de dois acetil-CoA, pela enzima citossólica tiolase, formando o acetoacetil-CoA. Um terceiro acetil-CoA é condensado, catalisado pela enzima HMG-CoA sintase (também citossólica) , formando o composto de seis átomos de carbono, 3-hidroxi-3-metilglutaril-CoA (HMG-CoA). Até então, essas duas reações são reversíveis e não comprometem a célula em finalizar a síntese. A próxima reação, entretanto, é irreversível, e compreende na redução da molécula de HMG-CoA a mevalonato  por dois NADPH. Tal redução é catalisada pela enzima HMG-CoA redutase, uma proteína integral de membrana do retículo endoplasmático liso e o principal ponto de regulação da síntese de colesterol.
 O mevalonato então passa por três fosforilações à custa de três moléculas de ATP e perde um grupo carboxila e um fosfato, resultando em uma unidade isoprenóide( semelhante ao isopreno), com cinco carbonos. Seis dessas moléculas isoprenóides são condensadas, formando o esqualeno, um composto linear de trinta carbonos que passará por ciclização, formando o lanosterol, este já apresenta quatro anéis característicos do núcleo esteróide. Após diversas reações, que incluem perda e migração de grupos metila, o colesterol é formado.


Regulação da síntese

A produção de colesterol é diretamente influenciada pela quantidade do mesmo no organismo, incluindo o presente nos sais biliares, agindo sobre a concentração da HMG-CoA redutase. Nessa situação, ocorre a inibição da transcrição do mRNA dessa enzima, que em menor concentração, reduz a produção do colesterol.
A inibição por retroalimentação ocorre dependendo da quantidade de colesterol ingerido na dieta, havendo balanço entre a produção hepática e o colesterol ingerido. Em um indivíduo saudável, quando há ingestão de colesterol é abaixo do que o organismo necessita, o fígado contribui com uma síntese aumentada para repor o necessário. Se a ingestão de colesterol é mais alta do que o adequado, o fígado reduz a produção endógena.
Na regulação hormonal, ocorre modificação quanto à atividade da HMG-CoA redutase. Insulina e glucagon agem induzindo a desfosforilação e fosforilação da enzima, respectivamente, por modificação covalente.  Se fosforilada está em menor atividade, logo ocorre redução da síntese do colesterol. Quando desfosforilada está na sua forma ativada, aumentando a produção endógena.

 Uma pequena parte do colesterol produzido é utilizada pela própria célula incorporada à membrana. Maior parte desse colesterol sai da célula de três formas: Como componente da bile; ácido biliar e ésteres de colesterol.
A bile é secretada pelo fígado, sendo um líquido aquoso onde há componentes lipídicos, como o colesterol e os sais biliares, estes são produzidos a partir de colesterol por mudanças na cadeia lateral da molécula, e podem estar conjugados ou não com aminoácidos.
A bile pode ser armazenada na vesícula biliar e tem função de emulsionar gorduras no intestino, facilitando a digestão. Parte da bile é reabsorvida pelo intestino e reenviada ao fígado, e a outra parte é excretada pelas fezes. É importante ressaltar que o anel tetracíclico (núcleo esteroídico) que caracteriza o colesterol como um lipídio esterol, não é degradado a H2O e CO2 pelo organismo, sendo os sais biliares a sua forma de excreção .


O próprio colesterol é um fator que induz sua esterificação, através da indução da enzima ACAT (acil-CoA-colesterol aciltransferase), que catalisa a transferência de um ácido graxo da Coenzima-A para o grupo hidroxila (porção apolar da molécula do colesterol), tornando a molécula muito mais hidrofóbica. Essa é a forma de armazenamento do colesterol no hepatócito e a forma de transporte em partículas lipoproteicas, como HDL e LDL.

Outra parte importante sobre o metabolismo do colesterol é seu transporte no organismo, que também têm influencia quanto a produção endógena. Para saber mais ,é só dar uma lida em nas postagens sobre as lipoproteínas plasmáticas.




 Referências bibliográficas: 


Marzzoco, Anita. Bioquímica Básica. Rio de Janeiro, 2ed.Guanabara, 1999.

NELSON, D. L.; COX, M. Lehninger – Princípios de Bioquímica. 3ed. São Paulo: Sarvier, 2002.
                                                                                Postado por Ana Carolina.




  • Digg
  • Del.icio.us
  • StumbleUpon
  • Reddit
  • RSS

2 comentários:

Unknown disse...

gostei ana... poderia me postar algo sobre colesterol e atividade fisica?

Falamansa disse...

Como a ingestão do colesterol reduz a produção endógena e a insulina.induz a síntese pela desfosforilação , não há um contrasenso no conceito vigente da indicação de redução de consumo do colesterol? Se a glicose é a fonte primária de Acetil-CoA e ao mesmo tempo responsável pelo aumento da insulina basal, não seria a redução de Carboidrato na dieta a arbodagem mais eficiente nas dislipidemias?

Postar um comentário